Nasza klasa III
poniedziałek, 3 listopada 2014
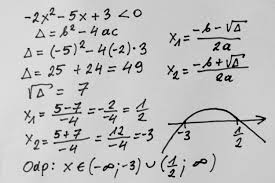
Dzisiaj pisaliśmy kartkówkę z matematyki.Ja dostałam 5.
Julita
Brak komentarzy:
Prześlij komentarz
Nowszy post
Starszy post
Strona główna
Subskrybuj:
Komentarze do posta (Atom)
Brak komentarzy:
Prześlij komentarz